Caméra refroidie couleurs ZWO ASI533MC-P
( Code : ZWASI533MC-P )Caméra haute performance pour le ciel profond et le visuel assisté
- Capteur CMOS couleur IMX533 (9 Millions de pixels)
- Taille pixel : 3.76µ
- Résolution : 3008 x 3008px / 11.31mm x 11.31mm
- Surface : 127.91mm²
- Refroidissement intégré pour l'imagerie longue pose
- Entrée coulant 50.8mm ou filetage M42 femelle
- Cette caméra nécessite une alimentation 11-15v pour fonctionner
TTC
Fabricant : Suzhou ZWO Co., Ltd., Peninsula Life Plaza, Moon bay road 6, SuZhou Industrial Park, 215123 Suzhou (CHINE) - www.zwoastro.com
Personne responsable : Optique Unterlinden, 5 rue Jacques Daguerre 68000 COLMAR (France) – www.optique-unterlinden.com – 03 89 24 16 05 - info@optique-unterliden.com
Tout savoir sur la caméra ZWO ASI533MC-Pro couleur refroidie
La société chinoise ZWO (Zhen Wang Optical) propose une gamme de caméras destinées à l'Astronomie dont les qualités, les performances et le prix sont surprenants. Le modèle ASI533MC est équipé d'un capteur couleur au format 1" de 9 millions de pixels (3008 x 3008px) dont l'usage est polyvalent. Avec un capteur si grand il se destine à l'imagerie du ciel profond et permet facilement le visuel assisté. Un refroidissement sous la température ambiante de 35°C est obtenu grâce à l'action d'un module Peltier et d'un ventilateur silencieux pour réduire nettement le bruit thermique.
Au niveau sensibilité, l'ASI533 se distingue avec un capteur CMOS haute performance Sony IMX533 capable d'atteindre un pic de sensibilité de 80% ! grâce à la technologie Exmor R Back-Illuminated. Le pic est supérieur à 60% sur la raie de l'Hydrogène Alpha (à 656nm, soit la zone d'émission de nombreuses nébuleuses). A noter aussi un faible bruit de lecture et l'absence d'effet pré-ampli. En version "Pro", cette caméra dispose d'une mémoire tampon (buffer) de 256MB augmentant considérablement la rapidité de lecture du capteur.
En planétaire, elle permet d'obtenir une résolution de 3008 x 3008px à la vitesse de 20 images/seconde, avec une profondeur de 14bits. La vitesse d'acquisition atteint 216 images/seconde en résolution 320 x 240px à 14bits. L'ASI1533MC-Pro possède un filetage d'entrée de type M42 femelle. Plusieurs câbles et adaptateurs sont livrés pour de multiples combinaisons (voir onglet "Documentation").
Rendement quantique
Comparatif
Bruit de lecture
Courant d'obscurité
Logiciels
Les pilotes, le logiciel d'acquisition et le mode d'emploi (en anglais) sont disponibles en téléchargement sur le site internet de ZWO Software ZWO. L'ASI533MC-P est compatible avec Windows, Linux, Arm-linux, Mac OSX. Un pilote ASCOM est disponible. Toutefois, il nécessite l'installation préalable du SDK (Software Development Kit) de ZWO, librement téléchargeable sur leur site.
Pour l'acquisition de vidéos planétaires, le logiciel FireCapture, proposé gratuitement par Torsten Edelmann, prend en charge nativement les caméras ZWO.
| Modèle | ZWO ASI533MC-Pro refroidie |
|---|---|
| Capteur | |
| Type | CMOS Couleur |
| Capteur | CMOS Sony IMX533 |
| Format | 1" |
| Résolution | 3008 x 3008px (9 millions de pixels) |
| Taille du pixel | 3.76µ |
| Surface | 127.91mm² (11.31mm x 11.31mm) |
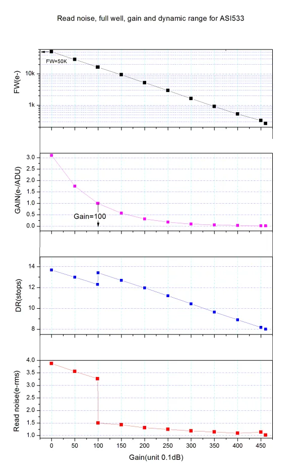
| Pleine capacité de charge | 50 000 e- |
| Pic de sensibilité (QE peak) | 80% |
| Gamme dynamique | 14 bits |
| Temps de pose | 32µs à 1000s |
| Cadence d'images | 14 bits : 3008x3008@20img/s, 1920×1080@54img/s 1280x720@80img/s 640x480@117img/s, 320x240@216img/s |
| Bruit de lecture | 1 à 3.8e- |
| Mécanique | |
| Transfert/connectique | 1x port USB 3.0 / 2x ports USB2.0 |
| Mémoire tampon | Buffer DDR3 256MB |
| Refroidissement | Thermoélectrique régulé avec consigne. ΔT = -35°C max |
| Alimentation (optionnelle) | 12V à 3A Max (#ZWPOWER recommandée) |
| Montage objectif | 2" mâle avec filetage femelle T2 M42x0.75 |
| Back focus (Distance capteur/entrée caméra) | 6.5mm ou 17.5mm avec l'adaptateur T2 |
| Dimensions (dia. x H) | 78mm x 73.5mm |
| Poids | 470g |
| Temp. maxi (fonction) | -5°C à 45°C |
| Temp. maxi (stockage) | -20°C à 60°C |
| Humidité maxi (fonction) | 20% à 80% |
| Humidité maxi (stockage) | 20% à 95% |
- 1 caméra ZWO ASI533MC-Pro couleur refroidie
- 1 adaptateur avec filetage M42 mâle vers coulant 1.25" mâle
- 1 réducteur avec filetage M42 mâle vers coulant 1.25" femelle (pour l'insertion d'un filtre 31.75mm)
- 1 cordon USB
- 1 sacoche de protection
- 1 spacer T2 de 21mm
- 1 adaptateur T2-M48 de 16.5mm
- 1 bague M42-M48
- 1 lot de 4 spacers M42 (1x 0.1mm / 2x 0.2mm / 1x 0.5mm)
- 2 câbles courts USB2.0 (pour roue à filtre, motorisation du porte-oculaire...)
Montage de la caméra pour avoir un backfocus de 55mm

Montage de la caméra pour avoir un backfocus de 55mm avec le diviseur optique ZWO

Montage de la caméra pour avoir un backfocus de 55mm avec le diviseur optique ZWO et le tiroir à filtre ZWO

Montage de la caméra pour avoir un backfocus de 55mm avec le tiroir à filtre seul

Montage de la caméra pour avoir un backfocus de 55mm avec le diviseur optique ZWO et la roue à filtre en 50.8mm

Dessin technique

Ces articles peuvent également vous intéresser